Loading...
School
Class I
English For Today
আমার বাংলা বই
প্রাথমিক গণিত
Class II
আমার বাংলা বই
English For Today
প্রাথমিক গণিত
Class III
পরিবেশ পরিচিতি
ইসলাম ও নৈতিক শিক্ষা
প্রাথমিক বিজ্ঞান
আমার বাংলা বই
English for Today
প্রাথমিক গণিত
আকাইদ ও ফিকাহ
Class IV
Class V
Class VI
Class VII
Class VIII
Class IX
Class X
Collage
Class XI
Mathematics 1st Paper
Class XII
Mathematics 2nd Paper
University
BBA
Math
Admission
Professional
Job
login
0
Class XI | Mathematics 1st Paper
Home
Class XI
Mathematics 1st Paper
Exercise
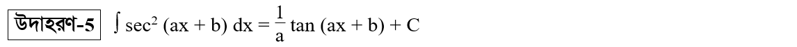
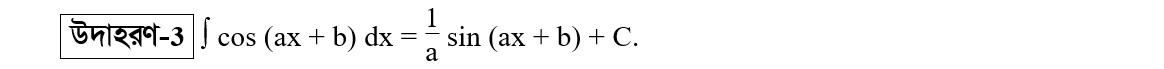
দশম অধ্যায় | যোগজীকরণ (INTEGRATION)
a
Play Video
a
Play Video
a
Play Video
a
Play Video
a
Play Video
a
Play Video
a
Play Video
a
Play Video
a
Play Video
a
Play Video
a
Play Video
a
Play Video
a
Play Video
a
Play Video
a
Play Video
a
Play Video
a
Play Video
g
Play Video
g
Play Video
g
Play Video
g
Play Video
g
Play Video
g
Play Video
g
Play Video
g
Play Video
g
Play Video
g
Play Video
g
Play Video
g
Play Video
g
Play Video
g
Play Video
g
Play Video
g
Play Video
g
Play Video
g
Play Video
g
Play Video
g
Play Video
g
Play Video
g
Play Video
g
Play Video
g
Play Video
g
Play Video
g
Play Video
g
Play Video
g
Play Video
g
Play Video
g
Play Video
g
Play Video
g
Play Video
g
Play Video
g
Play Video
g
Play Video
g
Play Video
g
Play Video
g
Play Video
g
Play Video
g
Play Video
g
Play Video
g
Play Video
g
Play Video
g
Play Video
g
Play Video
g
Play Video
g
Play Video
g
Play Video
g
Play Video
g
Play Video
g
Play Video
g
Play Video
g
Play Video
g
Play Video
g
Play Video
g
Play Video
g
Play Video
g
Play Video
g
Play Video
g
Play Video
g
Play Video
g
Play Video
g
Play Video
g
Play Video
g
Play Video
g
Play Video
g
Play Video
g
Play Video
g
Play Video
g
Play Video
g
Play Video
g
Play Video
g
Play Video
g
Play Video
g
Play Video
g
Play Video
g
Play Video
g
Play Video
g
Play Video
g
Play Video
g
Play Video
g
Play Video
Basic Class
Test Paper
Made Easy
Test Exam
MCQ Exam
CQ Exam
Exercise
অনুশীলনী-10(A)
অনুশীলনী-10(B)
অনুশীলনী-10(C)
অনুশীলনী-10(D)
অনুশীলনী-10(E)
অনুশীলনী-10(G)
অনুশীলনী-10(F)
সৃজনশীল প্রশ্ন
MCQ
Chapters
Download Our Android App
×
Application development are processing
App will coming soon!