Loading...
School
Class I
English For Today
আমার বাংলা বই
প্রাথমিক গণিত
Class II
আমার বাংলা বই
English For Today
প্রাথমিক গণিত
Class III
পরিবেশ পরিচিতি
ইসলাম ও নৈতিক শিক্ষা
প্রাথমিক বিজ্ঞান
আমার বাংলা বই
English for Today
প্রাথমিক গণিত
আকাইদ ও ফিকাহ
Class IV
Class V
Class VI
Class VII
Class VIII
Class IX
Class X
Collage
Class XI
Mathematics 1st Paper
Class XII
Mathematics 2nd Paper
University
BBA
Math
Admission
Professional
Job
login
0
Class XI | Mathematics 1st Paper
Home
Class XI
Mathematics 1st Paper
Exercise
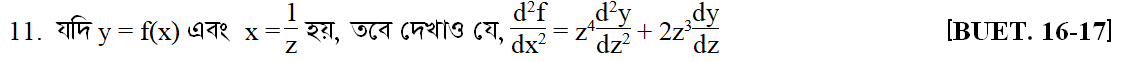
নবম অধ্যায় | অন্তরীকরণ (DIFFERENTIATION)
a
Play Video
f
Play Video
f
Play Video
f
Play Video
f
Play Video
f
Play Video
f
Play Video
f
Play Video
f
Play Video
f
Play Video
f
Play Video
f
Play Video
f
Play Video
Basic Class
Test Paper
Made Easy
Test Exam
MCQ Exam
CQ Exam
Exercise
অনুশীলনী-9(A)
অনুশীলনী-9(B)
অনুশীলনী-9(C)
অনুশীলনী-9(D)
অনুশীলনী-9(E)
অনুশীলনী-9(F)
অনুশীলনী-9(G)
অনুশীলনী-9(H)
অনুশীলনী-9(I)
অনুশীলনী-9(J)
অনুশীলনী-9(K)
MCQ
সৃজনশীল প্রশ্ন
Chapters
Download Our Android App
×
Application development are processing
App will coming soon!