Loading...

তৃতীয় অধ্যায় | জটিল সংখ্যা (COMPLEX NUMBERS)


৩.১ জটিল সংখ্যা (Complex Numbers)

বিস্তারিত বই থেকে পড়...


৩.২ i-এর শক্তি বা ঘাত (Powers of i)

বিস্তারিত বই থেকে পড়...


৩.৩ জটিল সংখ্যার জ্যামিতিক প্রকাশ আরগঁ চিত্র (Geometrical representation of complex numbers- Argand diagram)

বিস্তারিত বই থেকে পড়...


৩.৪ জটিল সংখ্যার পরমমান এবং নতি (Modulus and Argument of complex numbers)

বিস্তারিত বই থেকে পড়...


৩.৫ অনুবন্ধী জটিল সংখ্যা (Conjugate complex numbers)

বিস্তারিত বই থেকে পড়...


৩.৬ জটিল সংখ্যার ধর্ম (Properties of complex numbers)

বিস্তারিত বই থেকে পড়...


৩.৭ জটিল সংখ্যার যোগ এবং বিয়োগ এর জ্যামিতিক প্রতিরূপ (Geometrical representation of addition and subtraction of complex numbers)

বিস্তারিত বই থেকে পড়...


৩.৮ জটিল সংখ্যার গুণের জ্যামিতিক প্রতিরূপ (Geometrical representation of multiplication of complex numbers)

বিস্তারিত বই থেকে পড়...


৩.৯ জটিল সংখ্যার বর্গমূল (Square roots of complex numbers)

বিস্তারিত বই থেকে পড়...


৩.১০ এককের ঘনমূল ও এদের ধর্ম (Cube roots of unity and their properties)

বিস্তারিত বই থেকে পড়...


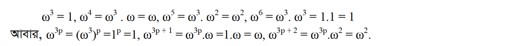
৩.১১ ω-এর ঘাতসমূহ (Powers of ω)

বিস্তারিত বই থেকে পড়...