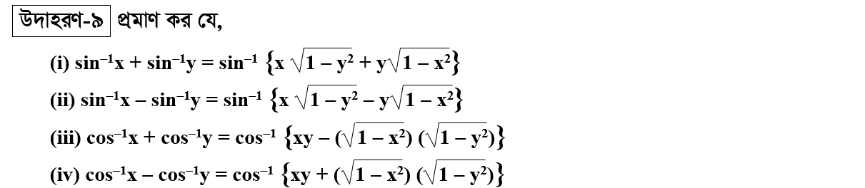
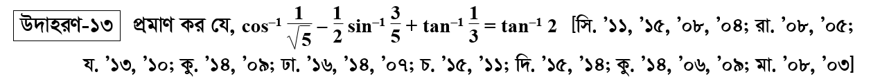
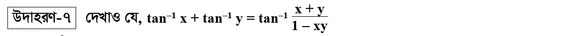
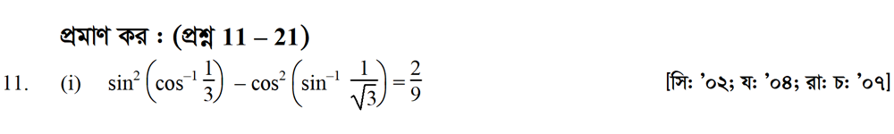
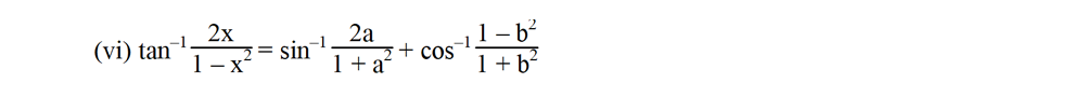
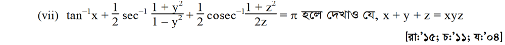
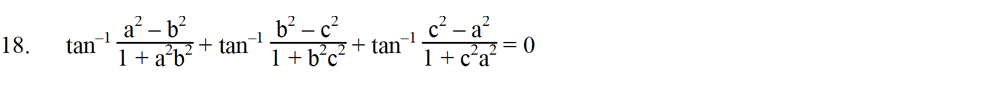
সপ্তম অধ্যায় | বিপরীত ত্রিকোণমিতিক ফাংশন ও ত্রিকোণমিতিক সমীকরণ (INVERSE TRIGONOMETRIC FUNCTIONS AND TRIGONOMETRIC EQUATIONS)
bb
bb